728x90
반응형
SMALL
import pandas as pd
import numpy as np
import matplotlib.pyplot as plt
from matplotlib import rc
import matplotlib
rc('font', family='AppleGothic')
plt.rcParams['axes.unicode_minus'] = False
data = {'aa':10,'bb':20,'cc':30,'dd':40,'ee':50}
sr = pd.Series(data, name='국어점수')
sr
[OUT] :
aa 10
bb 20
cc 30
dd 40
ee 50
Name: 국어점수, dtype: int64
sr.idxmax()
# numpy에서는 argmax()이고 pandas에서는 idxmax()
[OUT] :
'ee'
sr.idxmin()
[OUT] :
'aa'
연습문제
# 국어 점수가 45 이하인 데이터 중 가장 큰 값?
# solution
sr[sr<=45].max()
[OUT] :
40
sr.head(2)
[OUT] :
aa 10
bb 20
Name: 국어점수, dtype: int64
sr.tail(2)
[OUT] :
dd 40
ee 50
Name: 국어점수, dtype: int64
sr.nlargest(2) # top을 구해주는 함수 -> 역정렬하고 2개만 가지고오는 일 할필요없음
[OUT] :
ee 50
dd 40
Name: 국어점수, dtype: int64
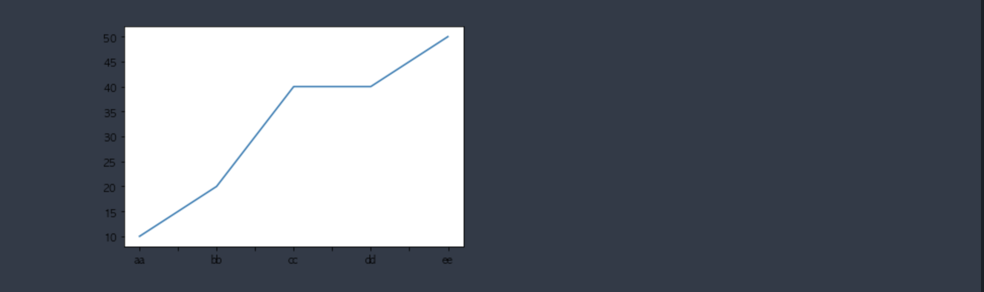
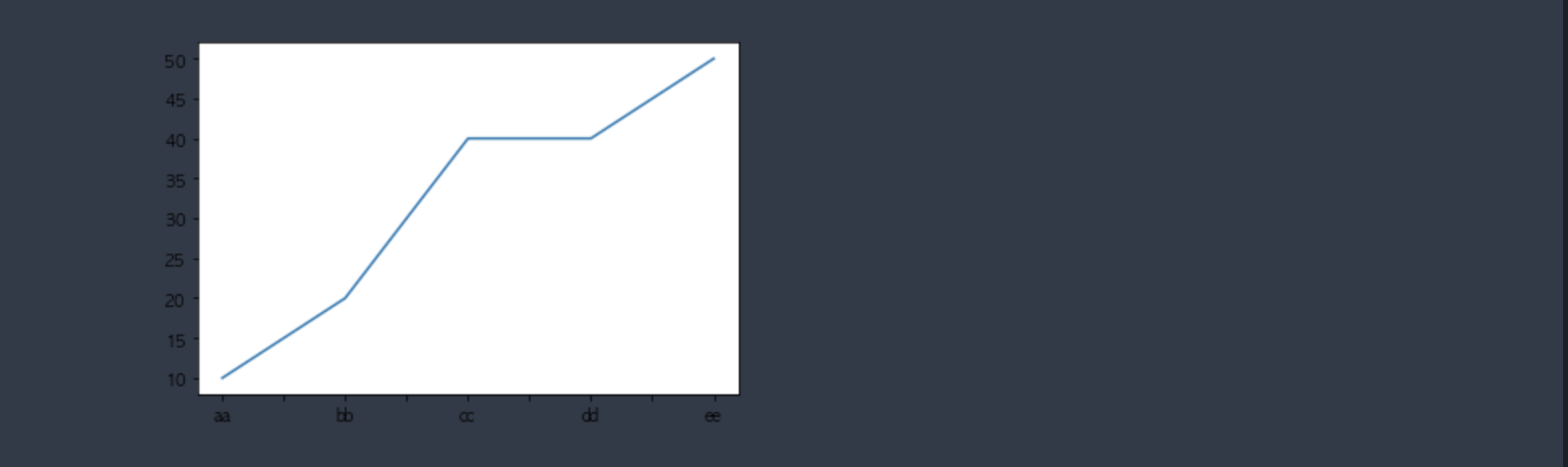
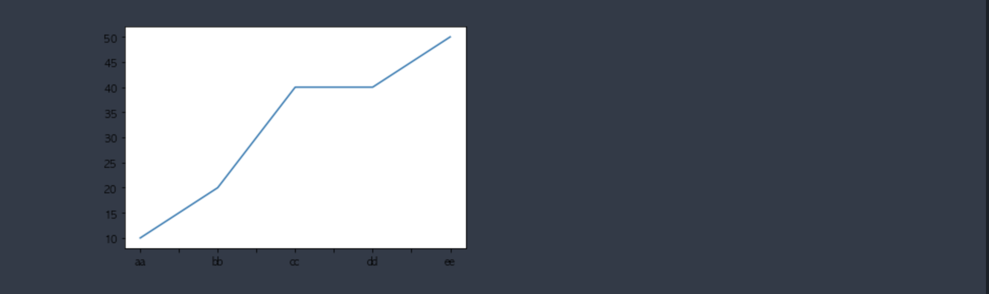
sr['cc'] = 40
sr
[OUT] :
aa 10
bb 20
cc 40
dd 40
ee 50
Name: 국어점수, dtype: int64
sr.nlargest(2)
[OUT] :
ee 50
cc 40
Name: 국어점수, dtype: int64
sr.nlargest(2,keep='last')
[OUT] :
ee 50
dd 40
Name: 국어점수, dtype: int64
sr.nlargest(2,keep='all')
[OUT] :
ee 50
cc 40
dd 40
Name: 국어점수, dtype: int64
sr.nsmallest(2)
[OUT] :
aa 10
bb 20
Name: 국어점수, dtype: int64
sr.sum()
[OUT] :
160
sr.mean()
[OUT] :
32.0
sr.std()
[OUT] :
16.431676725154983
sr.median()
[OUT] :
40.0
sr.quantile([0.25,0.5,0.75])
[OUT] :
0.25 20.0
0.50 40.0
0.75 40.0
Name: 국어점수, dtype: float64
sr.unique()
[OUT] :
array([10, 20, 40, 50])
sr.value_counts()
[OUT] :
40 2
20 1
10 1
50 1
Name: 국어점수, dtype: int64
def fn(v):
print('v=',v)
print('=========')
if v>30:
return v+1
else:
return v+2
sr.apply(fn)
[OUT] :
v= 10
=========
v= 20
=========
v= 40
=========
v= 40
=========
v= 50
=========
Out[71]:
aa 12
bb 22
cc 41
dd 41
ee 51
Name: 국어점수, dtype: int64
sr.apply(lambda v:v+1 if v>30 else v+2)
[OUT] :
aa 12
bb 22
cc 41
dd 41
ee 51
Name: 국어점수, dtype: int64
연습문제
# 국어점수가 40점 이상이면 합격 아니면 불합격
# solution
sr.apply(lambda v:'합격' if v>=40 else '불합격')
[OUT] :
aa 불합격
bb 불합격
cc 합격
dd 합격
ee 합격
Name: 국어점수, dtype: object
pd.cut(sr,5) # 범위 나누기
# 9.96 < aa <= 18.0
# 18.0 < bb <= 26.0 ...
# ( : 불포함, ] : 포함
[OUT] :
aa (9.96, 18.0]
bb (18.0, 26.0]
cc (34.0, 42.0]
dd (34.0, 42.0]
ee (42.0, 50.0]
Name: 국어점수, dtype: category
Categories (5, interval[float64]): [(9.96, 18.0] < (18.0, 26.0] < (26.0, 34.0] < (34.0, 42.0] < (42.0, 50.0]]
pd.cut(sr,5).value_counts()
[OUT] :
(34.0, 42.0] 2
(42.0, 50.0] 1
(18.0, 26.0] 1
(9.96, 18.0] 1
(26.0, 34.0] 0
Name: 국어점수, dtype: int64
pd.cut(sr,[0,20,40,60])
[OUT] :
aa (0, 20]
bb (0, 20]
cc (20, 40]
dd (20, 40]
ee (40, 60]
Name: 국어점수, dtype: category
Categories (3, interval[int64]): [(0, 20] < (20, 40] < (40, 60]]
pd.cut(sr,[0,20,40,60]).value_counts().sort_index()
[OUT] :
(0, 20] 2
(20, 40] 2
(40, 60] 1
Name: 국어점수, dtype: int64
pd.cut(sr,[0,20,40,60],labels = ['C','B','A'])
[OUT] :
aa C
bb C
cc B
dd B
ee A
Name: 국어점수, dtype: category
Categories (3, object): ['C' < 'B' < 'A']
sr.to_csv('a.csv') # csv파일로 내보내기
for n in sr:
print(n)
# sr.values 즉, 값만 추출
[OUT] :
10
20
40
40
50
for n in sr.index:
print(n)
# sr.index 즉, 인덱스만 추출
[OUT] :
aa
bb
cc
dd
ee
for n in sr.items():
print(n)
# tuple로 인덱스, 값 추출
[OUT] :
('aa', 10)
('bb', 20)
('cc', 40)
('dd', 40)
('ee', 50)
for i,v in sr.items():
print(i,v)
# 언패킹
[OUT] :
aa 10
bb 20
cc 40
dd 40
ee 50
시각화
sr.plot()
plt.show()

sr.plot(kind='bar',figsize=(8,6),title='성적데이터',legend=True,grid=True,ylim=(0,100),rot=45)
plt.show()

sr.plot(kind='barh') # 수평방향 bar차트
plt.show()

sr.plot(kind='hist',bins=5)
plt.show()

sr.hist()
plt.show()

sr.hist(bins=[0,20,40,60])
plt.show()

sr.plot(kind='pie',autopct="%.2f")
plt.show()

sr.plot(kind='box')
plt.show()

review
- unpacking
728x90
반응형
LIST